Call Us:
+91 9437911966
Email Us:
info@studentstutorial.com
Home
Class 10
Syllabus
Mathematics
Science
English
Social Study
Class 11
Syllabus
Class 12
Syllabus
Home
Mathematics
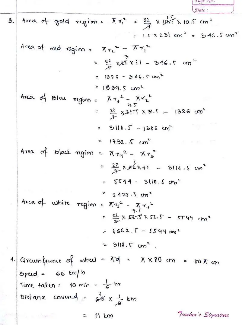
Exercise 12.1
Mathematics Areas Related To Circle Chapter Solutions NCERT
Exercise 7.3
Exercise 7.4
Exercise 9.4
Exercise 10.1
Exercise 10.2
Exercise 11.1
Exercise 11.2
Exercise 12.1
Exercise 12.2
Exercise 12.3
Exercise 13.1
Exercise 13.2
Exercise 13.3
Exercise 13.4
Exercise 15.1